一、水性环氧涂料的特点
水性环氧涂料主要溶剂为水,其特点如下所述。
①省资源、低污染水性环氧涂料以水代替有机溶剂。水的来源广泛,可节省大量资源,在生产、运输、涂装过程中,基本上无污染物产生、无火灾危险,因而有益于保护生态环境。
②被涂物件表面经除油、除锈、磷化处理后,不必完全干燥即可涂装。当采用电沉积施工时,对被涂物件表面处理有更严格的要求。施工设备、工具均可用水清洗。
③电泳涂料采用自动化电沉积施工法,涂装效率高于喷、刷、淋、浸等施工方法,涂装质量稳定、产生弊病较少;其他水性环氧涂料可采用喷、刷、浸等施工方法。
④水性环氧涂料中有大量的亲水基团,应着力改进涂膜的耐蚀性。对于室温干燥的水性环氧涂料,应采取有效措施,保证在规定时间内释放出涂膜内的水。这是水性环氧涂料配方设计、生产和涂装过程中值得关注的课题。
二、水溶性环氧涂料的配方设计
水溶性环氧涂料采用阴离子型树脂和阳离子型树脂做基料,阴离子型树脂用于阳极电泳涂料,阳离子型树脂用于阴极电泳涂料。
1.水溶性基料的合成
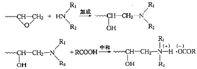
(1)阴离子型树脂爱游戏老版本下载
在水性涂料中得到广泛应用。大多数爱游戏老版本下载
都不溶于水,应将其制成水溶性环氧聚合物。使爱游戏老版本下载
水溶的最常见方法是,先将爱游戏老版本下载
与不饱和脂肪酸酯化反应制成环氧酯;然后用α,β-乙烯型不饱和二元酸(或酐)与环氧酯分子中的双键加成反应引进羧基;最后经胺(碱)中和成盐得到水溶性聚合物——阴离子型树脂:
![]() 制备阴离子型树脂时,一般选用羟基含量较高的爱游戏老版本下载
作为骨架结构材料。爱游戏老版本下载
与酸、酸酐反应,经胺中和后得到水溶性阴离子型树脂:
制备水溶性阴离子型树脂常用的爱游戏老版本下载
有E-20、E-12和E-35等。常用的脂肪酸有亚麻油酸、豆油酸、脱水蓖麻油酸等,其中亚麻油酸选用最多。常用的酸酐和羧酸有顺丁烯二酸酐、反丁烯二酸和亚甲基丁二烯二酸等。
有时,利用爱游戏老版本下载
的环氧基与乳酸或二羟甲基丙酸反应,在爱游戏老版本下载
分子中引入末端羟基,然后再与琥珀酸酐或偏苯三酸酐反应,引入羧基,最后加入适量的饱和脂肪酸缩水甘油酯以改进流动性和提高槽液稳定性。
水溶性阴离子型树脂与六甲氧基三聚氰胺等交联剂配合,会提高涂膜的有效交联密度(ρ)、改进耐蚀性。水溶性阴离子型树脂分子链上剩余的双键、羟基和羧基等活性基团与其他官能团反应,可达到改性目的。用酚醛树脂可提高耐化学药品性,用苯乙烯可提高硬度并增强耐电压性及对金属部件磷化层的适应性。利用液体爱游戏老版本下载
制备水溶性阴离子型树脂配方见表4-1。
![]() ![]() (2)阳离子型树脂制备阳离子型树脂时,可先将爱游戏老版本下载
与部分仲胺加成,接着与部分伯胺加成,再与仲胺加成,得到环氧一胺加成物,然后用酸中和得到水溶性阳离子型树脂。这种水溶性阳离子型树脂中加入脂肪酸缩水甘油酯后,改进了流动性和耐化学药品性。值得提示的是,三聚氰胺树脂和酚醛树脂不能使环氧一胺加成物充分交联固化,只有在加入对甲苯磺酸等酸性化合物后,其才会呈现好的交联固化性能。水溶性阳离子型树脂配方见表4-2。
![]() 取配方中阳离子型树脂:六甲氧甲基三聚氰胺=80:20(质量)配成清漆。其性能为:在180℃/30min时固化,涂膜厚25μm,电沉积涂膜的交联固化性和耐盐雾性优良。
有时,可用爱游戏老版本下载
先与异氰酸酯预聚物或丙烯酸聚合物反应,得到含羟基、羧基和氨(胺)基的树脂,形成环氧胺离子的过程如下:
![]() 式中 A——有机聚合物骨架,它组成的爱游戏老版本下载
已与异氰酸酯或丙烯酸聚合物反应;异氰酸酯官能团脱封,与环氧一胺加成物的氨(胺)基反应形成交联固化涂膜,其耐蚀性突出。
2.固化剂水溶性环氧涂料基料分子中常常带有可相互反应的基团,在交联固化成膜时起一定作用。但其也应采用水溶性固化剂,如采用三聚氰胺甲醛树脂、苯代三聚氰胺甲醛树脂、脲醛树脂和异氰酸酯封闭物等。当选用六甲氧甲基三聚氰胺作固化剂时,应加入少量的对甲苯磺酸铵和磷酸氢铵等强酸弱碱盐作固化促进剂;当选用异氰酸酯封闭物作固化剂时,应加入占基料量2%左右的固化促进剂,可保证槽液稳定性并明显提高涂膜的有效交联密度(ρ)、增加耐蚀性。
3.助溶剂的作用在电泳涂料中助溶剂(也称共溶剂)的作用是增加基料在水中溶解度、调节基料黏度、提高槽液稳定性、改善流平性和涂膜外观。
在水溶性醇类助溶剂中,碳链长的醇比碳链短的醇助溶效果好,含醚基的醇(溶纤剂)比不含醚基的醇助溶效果好。可供选择的助溶剂有乙醇、异丙醇、正丁醇、叔丁醇、乙基溶纤剂、丁基溶纤剂和仲丁醇等。
4.对颜填料的要求水溶性涂料以水作溶剂,其基料多数为弱碱性溶液。水溶性涂料使用的颜填料与溶剂型涂料不同,尤其是电沉积涂料对颜填料要求十分严格。在水溶性涂料的配方设计中,所选用颜填料的品种应尽量少而精。
(1)分散性为使颜填料分散均匀,在颜填料浆中加入表面活性剂进行表面处理,然后用砂磨机、球磨机、高速搅拌机分散,经烘干、粉碎,确保复色颜填料体系有较稳定的分散性。阴离子型电沉积涂料,可选用十二烷基磺酸钠等离子型表面活性剂。
(2)稳定性水溶性电沉积涂料选用的颜填料,必须在水中保持较高的化学稳定性。部分水解和能分解析出二价或多价金属离子的颜填料,会导致大分子基料沉淀析出,严重破坏槽液稳定性。因此,水溶性电沉积涂料中可电离的组分应减少到最低限度,若钙、镁、锌和铬酸等离子超过颜填料量的1%时,将对涂料造成破坏性作用。
(3)体积分数颜填料体积分数(PVC)对电沉积涂料漆液的泳透力和涂膜防锈能力均有影响。泳透力最高时,PVC为40%~50%;涂膜防锈能力最佳时,PVC<40%。
(4)酸碱性颜填料的酸碱性是不可忽视的问题。例如,羧酸环氧酯用胺中和得到的水溶性树脂是偏碱性的聚合物,若选用偏酸性的颜填料,会促使水溶性涂料酸性化,引起凝聚甚至破坏。若选用红丹、氧化锌和铅白等强碱性颜填料,易使基料皂化;若选用铬酸锌等水溶性大的颜填料,会破坏涂料的稳定性。
水溶性环氧涂料中可供选择的颜填料有钛白、铁黄、锶钙黄、柠檬黄、铁红、镉红、酞菁蓝、群青、炭黑、沉淀硫酸钡、滑石粉、白炭黑、重体碳酸钙和高岭土等。
三、水乳化型环氧涂料的配方设计
1.爱游戏老版本下载
乳液爱游戏老版本下载
乳液是水乳化型环氧涂料的基料组分。由于爱游戏老版本下载
不溶于水,具有亲油性,应采用合适的乳化剂将爱游戏老版本下载
乳化成爱游戏老版本下载
乳液,并保证水乳化型环氧涂料在贮存和使用时具有良好的稳定性和涂装性,这是设计水乳化型环氧涂料的技术关键。
乳化剂属于表面活性剂,其分子中含有亲水(或疏油)的极性基团和亲油(或憎水)的非极性基团。乳化剂可分为离子型乳化剂和非离子型乳化剂两大类。前者又分为阴离子型、阳离子型和两性离子型乳化剂三种;后者则有醚型、酯型和其他类型三种。
选择乳化剂的基本原则是,选择与被乳化树脂结构相似的乳化剂品种,以增强乳化效果,若乳化剂能溶于被乳化的树脂中会提高乳化效率;选择具有增溶能力的乳化剂,会使产生的乳液具有好的贮存稳定性;乳化剂在使用中应无毒,不污染环境。
在制造爱游戏老版本下载
乳液时,可选用非离子型的烷基酚聚环氧乙烷作乳化剂,它含有憎水基烷基酚和亲水基聚环氧乙烷(醚键)。当爱游戏老版本下载
和水加在一起时,因不相溶其分成两层,加入烷基酚聚环氧乙烷后,亲水基聚环氧乙烷溶于水,而憎水基烷基酚溶于爱游戏老版本下载
,经搅拌后使爱游戏老版本下载
变成为微粒子分散在水中,得到稳定的爱游戏老版本下载
乳液。爱游戏老版本下载
乳化过程如图4-1所示。
![]() 用作爱游戏老版本下载
的乳化剂主要有聚氧乙烯烷基酚缩合物类(如聚氧乙烯烷基酚醚等)、聚氧乙烯脂肪醇缩合物类(如脂肪醇环氧乙烷缩合物等)和聚氧乙烯蓖麻油缩合物类(如蓖麻油环氧乙烷缩合物等)。
通常采用在低分子液体爱游戏老版本下载
中加入螯合剂、乳化剂和流变促进剂等,制成低黏度、稳定的爱游戏老版本下载
乳液。可供乳化的爱游戏老版本下载
有Epikote 255、E-44酮醛爱游戏老版本下载
、海因爱游戏老版本下载
、E-51爱游戏老版本下载
和甘油爱游戏老版本下载
等。利用爱游戏老版本下载
与含羟基、羟甲基和醚键的合成树脂混合乳化后,得到混合型乳化树脂,增加了水乳化环氧涂料品种,拓展了其应用领域。煤焦油改性的水乳化环氧涂料,形成优异的防水涂膜,已取得广泛应用。
2.固化剂品种含活泼氢化合物(加成固化剂)和叔胺化合物(聚合固化引发剂)的固化剂,一般都能在水中乳化或溶解。液体氨基一酰胺(Casamid 360)、低分子聚酰胺、苯酚-甲醛-胺缩合物、液化二氰二胺、醚胺-亚胺缩合物等,都可作水乳化环氧涂料的固化剂。
水乳化环氧涂料中的水起到氢键给予体的固化促进作用,但由于涂料中含水量较大从而会影响固化效率。因此,在常温下从涂膜内移走大量的水,是目前正在设法解决的技术难题之一。
水乳化型环氧涂料可选用的固化剂有Casamid 360、改性聚酰胺、H61固化剂、氨基丙烯酸树脂、自乳化型固化剂和D-8固化剂等。
3.添加剂的作用水乳化型环氧涂料中,添加剂是极重要的组分,它是决定水乳化环氧涂料稳定性的关键因素。
(1)表面活性剂表面活性剂的作用是促进基料与颜填料混合、改进流动性和贮存稳定性,并能防止涂料包装容器内壁生锈。偏硼酸钠和防锈剂可保持乳液稳定、赋予涂膜杀菌性。
(2)螯合剂螯合剂(缓冲剂)能调节乳液的pH值,保证乳液稳定性。如在乳液中加入硝酸锌、磷酸二氢铵和硫代氰酸铵,乳液pH值分别为6.1、6.8和7.1;在23℃下贮存两个月后,相分离量分别为0、<5%和5%。
(3)消泡剂在水乳化型环氧涂料中加消泡剂等添加剂,会有效地防止涂料在分散及搅拌过程中发泡,调整涂料及涂膜性能。常用添加剂种类和用量见表4-3。
![]() 4.颜填料水乳化型环氧涂料中的颜填料,应满足在水中具有分散性、稳定性并可减小水相pH值变化的条件。通常选用水溶性极小的颜填料,或将颜填料进行除去水溶性盐的预处理。常用的颜填料与水溶性环氧涂料相同。在水乳化型环氧涂料中加入氧化铁、铬酸锌、磷酸锌、铬酸钡和硼酸锌后,作为金属材质的底漆,这种涂料已取得令人满意的应用效果。
|







