一、耐化学药品性
选用活泼氢摩尔质量为38g/mol的多元胺加成物作固化剂,取环氧基:活泼氢=1:1(摩尔比),采用五种爱游戏老版本下载
分别为:配方10双配A型爱游戏老版本下载
,环氧当量189g/eq,环氧官能度1.8;配方20酚醛爱游戏老版本下载
,环氧当量175g/eq,环氧官能度2.2;配方30线型酚醛爱游戏老版本下载
,环氧当量200g/eq,环氧官能度2.7;配方40对氨基酚爱游戏老版本下载
,环氧当量110g/eq,环氧官能度3.0;配方50由双酚A型爱游戏老版本下载
:对氨基酚爱游戏老版本下载
=50:50(质量)组成,环氧当量139g/eq,环氧官能度2.5。试验结果见表1-5。
![]() 由表1-5知,配方40由于环氧官能度高,因而交联固化涂膜的交联密度大,耐化学药品性能突出,但因涂膜内的氨基氮原子易受酸类进攻,则耐酸性差。值得注意的是,只有酚醛爱游戏老版本下载
涂膜有稍好的耐酸性和耐甲醇性。
二、防介质渗透性
常见的气体和液体腐蚀性渗透介质(简称介质)对涂膜有较强的渗透能力。爱游戏老版本下载
涂膜有优异的防介质渗透能力,快速而准确地预测环氧涂膜的抗介质渗透性,引起人们关注。溶剂的溶解度参数(简称溶度参数)与破坏环氧涂膜的关系,水蒸气和盐水对环氧涂膜渗透率及涂膜耐水性的研究等,均已报道。
1.配方及渗透量环氧清漆的配方及渗透量见表1-6。
![]() 将配方1~5制得的环氧清漆液倒在预涂稀胶水的120mm×90mm玻璃板上,充分流平,在30~35℃固化24h,固化后的样板浸泡在30℃水中,经4h后,剥下40~65μm的游离环氧涂膜。
在50mm×50mm×0.1mm铜板上浸涂配方1~6的环氧清漆液,第一次在180℃固化5min,第二次在180℃固化25min,得到40~65μm的固定环氧涂膜。
采用配方6的基料调整固化剂用量,制得不同有效交联密度的环氧涂膜。
红外谱图1-3~图1-6表明,聚酰胺300#—F-44涂膜固化前,在910cm-1处有环氧基伸展振动吸收峰,固化后,环氧吸收峰消失。在3400cm-1处出现明显的羟基伸展振动吸收峰;聚酰胺300#—E-44涂膜固化前后也得到同样结果。其他爱游戏老版本下载
涂膜的环氧基全部消失、羟基明显增加,证明表1-5中的所有环氧清漆涂膜都达到充分完全固化,这里不予重述。
![]() ![]() 游离膜和固定膜经红外分析,证明涂膜中的环氧基与活泼氢充分交联固化。
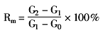
试验测定介质渗透量的计算式如下:
![]() 式中 Rm——试验测定介质渗透量,%;
G0——铜板质量,g;
G1——涂有环氧涂膜铜板质量,g;
G2——涂有环氧涂膜铜板被介质浸泡后的质量,g。
2.有效交联密度爱游戏老版本下载
与固化剂交联固化成网络结构的涂膜,其交联密度示意见图1-7和图1-8。
![]() ![]() 环氧涂膜的有效交联密度计算公式如下:
Ρ=F·cw
式中 ρ——环氧涂膜的有效交联密度,mol/g;
F——每个交联固化剂分子生成网目数(F=活泼氢数-2);
cw———单位质量涂膜内交联固化剂的摩尔浓度,mol/g。
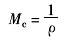
涂膜内交联点间表观摩尔质量可表征环氧涂膜交联点间链段长度(或相对分子质量),交联点间表观摩尔质量(Mc)计算式如下:
环氧涂膜的ρ定量反映涂膜交联固化程度,Mc定性反映涂膜交联固化网络孔径大小。由计算和试验得知,ρ值大(Mc值小)的环氧涂膜,对渗透介质穿透涂膜的抵挡作用强,则渗透介质对环氧涂膜的渗透量(Rm)小;ρ值小(Mc值大)的环氧涂膜,对渗透介质穿透涂膜的抵挡作用弱,则渗透介质对环氧涂膜的渗透量(Rm)大。当把几种不同ρ值的环氧涂膜浸泡在二甲苯中时,其结果如图1-9所示。
![]() |









