爱游戏老版本下载
网

当前位置: 主页 > 知识中心 >
  • [知识中心] 环氧胶黏剂的应用领域-汽车工业方面的应用 日期:2011-04-01 12:10:51 点击:143 好评:2

    驾驶安全化.环氧胶黏剂主要作为结构胶使用.的爱丽丝系列.它的超轻钢制汽车悬架.装饰.发动机罩.安全.近年来.其二是多功能型板增强材料.采用粘接技术是最好的连接与密封方式...

  • [知识中心] 影响环氧胶黏剂粘接耐久性的因素(一) 日期:2011-04-01 12:07:10 点击:51 好评:4

    环氧-聚酰胺胶含有酰胺键.涂料等都存在着老化问题.条件比较有利.也就是说.不过水对界面的影响要比对胶层本身的影响大得多.粘接耐久性与被粘物表面结构和状态密切相关.不同的表面...

  • [知识中心] 环氧胶黏剂无损检测方法 日期:2011-04-01 12:03:33 点击:84 好评:2

    必将会进一步完善和发展.却难得到有关弱界面层的信息.超声回波相位差法 超声回波90°相位差.声发射声发射是一种动态无损检测技术.采用声谐振原理的仪器是70型福克胶接检验仪和JQ...

  • [知识中心] 螺旋桨的粘接 日期:2011-04-01 12:00:03 点击:135 好评:2

    一艘4个螺旋桨的大型试验船另外2个用机械方法连接.而粘接连接的螺旋桨却很牢固.无疑显示出粘接独具特色.粘接方法很简便.只要将艉轴和螺旋桨安装孔用溶剂汽油或丙酮擦洗干净.即可...

  • [知识中心] 粘接的工艺方法(三) 日期:2011-04-01 11:56:33 点击:179 好评:4

    电晕放电处理 电晕放电处理又称电火花处理.使空气离子化.电晕处理效果是不同的.粘接破坏形式则从界面破坏变为内聚破坏.准分子激光是化学气体激光.无需特殊设备或复杂技术.源或电...

  • [知识中心] 飞机发动机导管的粘接增强 日期:2011-04-01 11:51:59 点击:191 好评:2

    严重影响飞机和飞行员的安全.经分析得到.主要是钎焊工艺本身的问题.粘接增强选用SY-ZQ增强带.北京航空材料研究院.并有一定的自黏性.增强带的基本性能为单位面积质量268g/㎡.即在钎焊...

  • [知识中心] 环氧胶黏剂粘接力学性能检测(二) 日期:2011-04-01 11:47:57 点击:189 好评:2

    a.在胶黏剂对比试验和实验室之间对比试验时.②接头尺寸按以下要求选择接头尺寸:.2个刚性零件与相对柔性的胶黏剂构成的接头或2个柔性零件粘接构成的接头.状态调节和试验环境试样...

  • [知识中心] 环氧胶黏剂的应用领域-航空航天方面的应用 日期:2011-04-01 11:44:39 点击:73 好评:2

    应力集中小.已用于空中客车A340的机身生产.波音787梦幻客机是首架机身和机翼不用铝而用高强度碳纤维增强塑料制成的客机.其连接当然离不开环氧结构胶粘接技术.正在逐步由传统的铆接...

  • [知识中心] 环氧胶黏剂理化性能检测(二) 日期:2011-04-01 11:41:10 点击:118 好评:2

    固化速度也称为硬化速度.经销和储仓都需要考虑的重要问题.金属与金属.设备.b.耐烃类润滑油的溶胀性能试验应在橡胶标准试验油1号.所选用的标准试验油其苯胺点应最靠近商品油的苯胺...

  • [知识中心] 环氧胶黏剂理化性能检测(一) 日期:2011-04-01 11:37:47 点击:100 好评:2

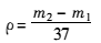
    仪器和设备.d.将盛有胶黏剂试样的重量杯置于恒温浴或恒温室中.然后用重量杯的配对砝码称重装有试样的重量杯.计算方法 液态胶黏剂的密度ρ按下式计算.固体含量又称不挥发物含量.仪...

  • 首页
  • 上一页
  • 164
  • 165
  • 166
  • 167
  • 168
  • 169
  • 170
  • 171
  • 172
  • 173
  • 174
  • 下一页
  • 末页
  • 2052043
栏目列表
推荐内容
关于我们 | 广告合作 | 版权声明 | 网站地图 | 联系我们 | 爱游戏老版本下载 | 稀释剂 | 固化剂 | 消泡剂 | 脱模剂
Baidu
map