四、缩水甘油胺爱游戏老版本下载
缩水甘油胺爱游戏老版本下载
是由多元胺或三聚氰酸和环氧氯丙烷反应制得的,环氧基直接连在叔胺基上。 (一)三聚氰酸三缩水甘油胺(TGIC) TGIC结构如下:
TGIC主体为三嗪核骨架含有3个环氧基,固化后比双酚A型爱游戏老版本下载
交联密度更紧密,因而具有优良的耐高温性能,马丁耐热可达250℃,且有优良的耐候、光老化性,由于含氮量高达14%(质量分数)还具有优良的耐电弧性和自熄性。这些优良的性能使人们对它的合成和应用作了很多的研究。 典型的TGIC的物化性能如下: 外观白色结晶粉末;分子量297.29;熔点102~105℃;黏度(120℃)0.058~0.065 Pa·s(Hoppler);环氧当量102~108g/mol(环氧值0.926~0.98m01/100g);有机氯<1.0%(质量分数);无机氯<0.3%(质量分数)。 TGIC的合成分二步第一步三聚氰酸和环氧氯丙烷在季铵盐催化下发生开环加成反应:
据资料报道,在带有电动搅拌、温度计、油水分离器的四口反应瓶中,投入12.9g三聚氰酸,140g环氧氯丙烷,0.5g四甲基氯化铵,7g水,不断搅拌下,加热至回流.将油水分离器上层的水分去,下层环氧氯丙烷返回到反应瓶中,在约40min时间内物料温度缓慢由89℃上升至121℃,水脱完后将反应液冷却至25℃。第二步分批加入含量97%(质量分数)的粉状氢氧化钠13.5g,约20min内加完,继续反应半小时,其生成的氯化钠固体加入50ml水使之溶解。把物料移至分液漏斗中除去水层。有机层用20ml 20%浓度(质量分数)的NaH2PO4水溶液中和,除去水层再用20ml水洗涤,再分去水层。有机层用无水氯化钙干燥,过滤后,减压蒸馏回收过量的环氧氯丙烷,即制得28.3g油脂状的产品,收率为95%(质量分数)。再加入甲醇115g进行重结晶,溶液放在0℃下1昼夜,即得到18.7g白色结晶体收率为75%(质量分数),熔点103~104℃。 另据报道,反应器装置和投料量同上,仅催化剂用量为0.24g分二次加入。第一步加成反应时先加入催化剂0.12g,第二步环化反应采用50%(质量分数)的NaOH28.8g和0.12g催化剂在60℃减压下向物料中滴加,压力控制在0.019~0.0199MPa,水和环氧氯丙烷共沸经油水分离器不断地分去水分而环氧氯丙烷返回到反应液中,约80min完成水的分馏。然后逐渐将压力降到0.012~0.013,这时再分出约25ml的水。这时放去真空并且冷却,同上一方法一样作后处理得到28.2g粗制品,用甲醇重结晶后得到22.9g白色的结晶产物,收率约75%(质量分数),经分析环氧值为0.964mol/100g,总氯含量1.1%(质量分数)。 TGIC最大的应用领域是和羰基为端基的饱和聚酯配合作为耐候、户外用装饰性粉末涂料之用。 (二)对氨基苯酚爱游戏老版本下载 和二氨基二苯甲烷爱游戏老版本下载 DGGAP由美国联碳公司率先开发的,牌号为ERLB-0500,国内产品牌号为AFG-90。TGDN瑞士CIBA-GEIGY公司牌号为Araldite MY 720,国内相似产品牌号为AG-80。两者技术指标见表2-9。
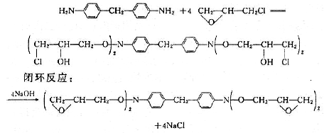
(1)合成 通常含有缩水甘油基树脂的合成分两步进行。首先氨基进攻环氧氯丙烷的环氧基生成氯代醇;然后在碱作用下(氢氧化钠)发生闭环反应,生成缩水甘油胺和氯化钠。此两步反应常常同时发生,实际合成是使用过量的环氧氯丙烷,这样既可作为溶剂,又可抑制低聚物的生成。环氧氯丙烷和多元胺反应是剧烈的放热反应,必须在良好的搅拌状态下,逐渐滴加环氧氯丙烷,并加强冷却。以下以二氨基二苯甲烷为例表示主要反应式。 氯代醇的生成:
TGDN一般商品501C时的黏度为12000mPa·s,而用分子蒸馏法和制备高性能液相色谱法离析的纯TGDN,50℃时的黏度为1100mPa·s。因此,在TGDN的商品中,明显地含有高黏度的分子量高的齐聚物。原来以为这些分子量较高的齐聚物之所以产生,是因为在最后高温蒸馏的过程中,游离的NH与环氧基发生反应的结果。但是,在用高压液相色谱跟踪该反应过程时,发现情况并非如此。用高压液相色谱分析刚好发生闭环反应之前的氯代醇的组成,分析结果表明已经生成大量的分子量高的齐聚物。因此,在加入环氧氯丙烷的过程中,生成高分子量的齐聚物的过程(advancement process)就已经发生,并认为这是由于氯代醇与游离胺发生反应的结果,如反应示意图2-8。
消除这个副反应的最好途径就是要找到一种方法,用游离胺与环氧氯丙烷的反应来抑制胺与事先生成的氯代醇反应。事实上要用这种方法是困难的,因为除了在最后阶段添加之外,体系中与其说总是环氧氯丙烷过量,倒不如说胺过量的好。 目前,通常采用一种工艺,已经相当成功地达到了这一目的。这种方法适用于合成一系列的缩水甘油胺类树脂,尤其是用于合成剑桥的达克斯福德(Duxford)生产的低黏度的TGDN树脂。 (2)应用特点这两种缩水甘油胺类树脂的特点是对玻璃纤维、碳纤维的浸润性好,固化产物具有良好的耐热性和耐核辐射性,所以主要用于宇航和军事工业中,例如作为火箭辅助发动机的缠绕成型壳体等。 DGGAP树脂另一个重要的特色是固化收缩率小。尽管在配料温度低的情况下填料添加数量受到了限制,但固化收缩率仍可做到0.4%,这是双酚A型爱游戏老版本下载
浇铸体系无法比拟的。这样就降低了固化物的残留收缩应力,增强了该铸件的抵抗应力开裂的能力。 |






