设计宇宙飞行器防热方案时,多数采用有机聚合物为胶黏剂(基料)的烧蚀隔热涂料(材料)实施防护。
利用有机聚合物结构常数(K)、线性烧蚀速率(AR)定量地揭示了有机聚合物结构与抗烧蚀性、隔热性的关系。用K、AR比较、评价、预测有机聚合物涂膜(涂层)的烧蚀隔热
性,可以明显减少试验次数、节省时间、提高效率是指导烧蚀隔热涂料配方设计行之有效的方法。
本节重点介绍烧蚀隔热涂料的特性、配方组成、制备工艺、施工方法,烧蚀隔热涂层性能评价及烧蚀隔热涂料的发展。
一、烧蚀隔热涂料的特性
1.宇宙飞行器的隔热防护自20世纪50年代以来,人们对火箭、导弹、人造卫星和宇宙飞船等飞行器的防护问题,进行了许多开发应用研究工作。随着宇宙空间技术的迅速发展,宇宙飞行器的防热措施已成为极其重要的课题。高速飞行器的外蒙皮,由于气动摩擦产生高温,如中程导弹和洲际弹道导弹的弹头进入大气层时,其飞行速度高达10~28M(马赫)(3.5~10km/s),产生极苛刻的高温及热冲击破坏。
有机聚合物受高温变成
,气体吸热100kJ/kg,而金属铜受高温变成气体吸热6.7×104kJ/kg。即有机聚合物变成气体带走的热量是金属铜变成气体带走热量的14.9倍,由此可知有机聚合物的隔热效果相当显著。在设计宇宙飞行器防热方案时,对飞行器的高温、高冲刷部位,对火箭外壳气动加热防护、发动机燃烧室内壁推进剂燃气流热防护、发动机喷管处及受热冲击的发射场所等的热防护,多数采用烧蚀隔热涂料(或材料)。 在高温、高热流冲蚀下,由烧蚀隔热涂料形成的涂层发生分解、解聚、熔化、蒸发、气化及离子化等物理化学变化,引起涂层组分消融(ablation of materil)并带走热量,即通过烧蚀隔热涂层组分的局部“牺牲”,达到保护飞行器正常运行的目的。
烧蚀隔热涂层的抗烧蚀隔热效果除取决于烧蚀隔热涂料结构外,还受滞点压力、辐射热流、对流热流、滞点焓值、热传递系数和环境气氛等诸方面制约。根据有机聚合物在烧蚀过程中的碳化方式和残留物性质可分为成碳型、成硅型和升华型有机聚合物。酚醛树脂、爱游戏老版本下载
、聚亚苯基树脂和杂环树脂等为成碳型有机聚合物;有机硅树脂和硅橡胶等为成硅型有机聚合物;聚四氟乙烯、聚甲基丙烯酸甲酯、聚苯乙烯和聚甲醛等为升华型有机聚合物。成硅型和升华型统称为非成碳型有机聚合物。可按使用环境选择适当的有机聚合物作烧蚀隔热涂料的基料。
2.烧蚀隔热涂料的特性
(1)抗烧蚀性烧蚀隔热涂层的抗烧蚀性是其的基础特性。烧蚀隔热涂层是在极苛刻的高温、高热流、高气动剪切冲蚀条件下,呈现低的线性烧蚀速率(AR),即强的抗烧蚀及冲蚀能力。涂层能产生石墨结构的坚硬碳化层,达到抗烧蚀的保护功能。
(2)隔热性烧蚀隔热涂层的隔热性是保障特性。在高温条件下,对于规定厚度的涂层,使操作系统内达到规定允许温度所需时间越长,涂层隔热效果越好,控制系统越准确可靠。因此,在飞行器运行时,应确保涂层的热传递系数低并通过消融带走足够量的热量。
(3)黏结强度烧蚀隔热涂层对被保护基材有相当高的黏结强度是其的安全特性。烧蚀隔热涂料施工时,需采取有效措施,将物理黏附与化学黏附合理结合,使涂层牢固地黏附在被保护基材上,确保飞行器安全运行。
(4)性“三防”盐雾、性是其的贮存特性。烧蚀“三防”烧蚀隔热涂层的(霉菌、湿热)隔热涂料应形成有效交联密度(ρ)大、致密性高、防腐蚀介质及水渗透能力强的涂层,保证在飞行器贮存时涂层有优异的“三防”性。
(5)选择性烧蚀隔热涂料的选择性是专用特性。需要用烧蚀隔热涂层实施热防护的飞行器,其不同部位需选用不同特性的烧蚀隔热涂料品种。如发动机燃烧室衬里和电缆等部位的防热,可选用有足够韧性的合成树脂作基料制成的弹韧性突出的烧蚀隔热涂料;弹头锥部、高超音速反弹道导弹的壳体表面及发射台的导流槽等部位,是在高热流、高气动剪切力作用环境下使用,应选择热固性树脂作基料制成的烧蚀隔热涂料。
二、烧蚀隔热涂料的组成
烧蚀隔热涂料由基料、填料、固化剂、增强剂和添加剂等组成。下面介绍烧蚀隔热涂料对各组分的要求及配方应用示例。
1.对基料的要求 烧蚀隔热涂料中采用的基料,也称为有机胶黏剂或有机聚合物。
(1)结构常数与线性烧蚀速率第四章中已经介绍了有机聚合物的结构常数K≈0.53δ(F+C+D),有机聚合物的线性烧蚀速率AR与(F+C+D)δ成反比。
当有机聚合物的键能比值(F)、耐热参数(C)和交联度(D)都具有较大数值时,制成的烧蚀隔热涂料的AR值较小,涂层的抗烧蚀性优异。
耐热参数(C)表征聚合物结构内的共轭环和杂原子耐热抗烧蚀性。在基料分子结构中含有苯环、多苯环、苯并咪唑环、杂原子环和杂稠环等共轭环状结构时,制成烧蚀隔热涂料形成的涂层,含有好的抗烧蚀性。几种有机聚合物的AR列于表7-39。
由表7-39知,在聚乙烯主链上引入两个侧基(甲基和苯基)后,得到聚丙烯和聚苯乙烯,其AR降低、抗烧蚀性增强,说明苯基抗烧蚀性明显比甲基强。当在主链上引入共轭芳环时, AR显著下降,例如热固性酚醛树脂的AR值仅为聚乙烯的1/6。由于爱游戏老版本下载
分子重复单位内共轭芳环的稠度低于酚醛树脂,则爱游戏老版本下载
的AR值略高于酚醛树脂的AR值。
表7-39 几种有机聚合物的AR比较
![]() 交联度(D)表征有机聚合物可形成交联网络结构的程度,其数值反映有机聚合物重复单位内可交联反应基团(或可交联反应点)数。涂膜的有效交联密度(ρ)表征有机聚合物已形成交联网络结构内的交联点摩尔浓度,其数值反映涂膜内交联网目数。D和ρ值越高,涂膜(层)致密性越好,抗烧蚀性越强。
当C≠0,D≠0(或D≠0、D≠1/4)时,有机聚合物的AR(mm/S)计算式为:
![]() 当C=D=0,而且有机聚合物主链上无侧链基团时(如聚乙烯等),有机聚合物的AR(mm/s)计算式为:
![]() 当C=0,D=1/4,而且有机聚合物主链上无侧链基团时(如尼龙等强氢键有机聚合物),有机聚合物的AR(mm/s)计算式为:
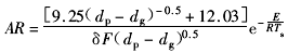
![]() 当C=D=0,而且有机聚合物主链上有侧链基团时(如聚甲基丙烯酸甲酯和聚丙烯腈等),有机聚合物的AR(mm/s)计算式为:
![]() 酚醛一爱游戏老版本下载
的AR计算如下。
重复单位结构:
![]() 利用Small’s方法计算δ和dp
![]() 将上面数据代入A尺计算式中,得到酚醛一爱游戏老版本下载
的AR=0.299mm/s。试验证明,有机聚合物的AR<0.40mm/s时,该有机聚合物可作为烧蚀隔热涂料的基料。从抗烧蚀性和涂料施工性考虑,可选用热固性酚醛树脂、爱游戏老版本下载
及其改性树脂等作高温、高热流、高气动剪切冲蚀条件下烧蚀隔热涂料的基料。
(2)产气率烧蚀隔热涂层内已经交联固化的基料,在高温下热分解,解聚成低分子气体H2、CO、H2O、
等,移动至烧蚀界面跑掉,带走热量,达到隔热目的。因此,烧蚀隔热涂层在高温下应具有较高的产气率。实践表明,产生气体的相对体积越大、带走热量越多、隔热效果越好。例如,气体 的相对体积是1.0,金属铜产生气体的相对体积是0.08,则从有机聚合物为基料的烧蚀隔热涂层的隔热效果远远高于金属铜。 各种材料在烧蚀过程中吸收热量、产生气体相对体积比较见表7-40所示。
![]() 从表7-40可知,有机聚合物材料比无机物及金属在高温下可吸收更多的热量,产生较多的气体,可带走大量的热能。由于这种优越的特性,采用有机聚合物作烧蚀隔热材料已逐步取代了相关部位的传统结构材料,为宇航工业做出贡献。
烧蚀隔热涂层在高温下除产生低分子气体外,还会生成大量的碳质残留物,在1500K以上温度时,会与过渡性金属元素(或金属氧化物)发生吸热催化反应:
![]() 碳质残留物与Fe2O3、SiO2、Cr2O3反应时,产生一氧化碳的气体分压顺序:Fe2O3>>SiO2>>Cr2O3。涂层中的Fe2O3与碳质残留物反应会带走大量的热,起到较明显的隔热作用。
(3)成碳率烧蚀隔热涂层在高温下生成的碳质残留物只有少部分参加化学反应,而绝大部分构成坚硬层状的石墨结构(称碳化层),覆盖在烧蚀隔热涂层表面上,构成屏障,抵抗高气动剪切冲击,有效地降低AR,达到抗烧蚀目的。抗烧蚀是涂层的必备条件,尤其是经高温高速气流冲蚀后,涂层要有良好的表面状态,保证飞行器正常工作。有机聚合物成碳率越高、制成涂层的抗烧蚀性就越好。如聚丙烯腈经高温碳化后生成碳纤维———新型态碳,它具有线型石墨结构,抗烧蚀性相当好,已在烧蚀隔热涂料中应用。不含碳纤维的涂层AR为0.25mm/s;含5%碳纤维的涂层AR为0.17mm/s(氧一煤油发动机检测结果)。
(4)粘接性粘接性是对烧蚀隔热涂层的基本要求,它为飞行器的安全性起保障作用。烧蚀隔热涂层经过老化、高低温和震动等严格考验之后,要求涂层与被保护体仍具有优异的粘接强度。一般地说,涂层的粘接性取决于基料的分子结构特点。在填料固定的条件下,粘接性与基料分子链段间相互作用、分子运动状态、分子内含活性基团性质等因素有关。应从形态结构和化学结构的交互作用来探索粘接强度的规律性。
总之,烧蚀隔热涂料中采用的基料应具备结构常数K值大、线性烧蚀速率AR小、产气率高、碳化层硬、粘接强度牢等基本条件。在选择基料时,应特别注意这些条件的相互作用与制约。
2.固化剂对烧蚀隔热涂料固化剂的要求与对基料的要求大体一致。通常,将常规固化剂经两次加工改性后,再用于烧蚀隔热涂料中。在制造环氧烧蚀隔热涂料时,经常采用特殊改性胺类、增韧性固化剂、钡酚醛树脂、硼酚醛树脂和交联剂等,并已取得优良的应用效果。
3.填料烧蚀隔热涂料中的填料可增加涂层的耐温性、提高机械强度、改进烧蚀时表面状态、调整涂层结构并产生物理一化学反应。设计烧蚀隔热涂料配方时,要求填料有较好的匹配性、较低的密度和一定的反应性。
(1)匹配性 烧蚀隔热涂料的填料可分为无机填料(如硼酸盐、硅铝酸盐、耐高温氧化物等)、有机填料(如树脂粉末、中空微球等)和活性金属粉等。通常,根据环境温度和气动剪切力等因素决定选择填料品种。如在600℃以上高温而无气动剪切力作用时,可选用磷、硼酸盐等较低熔点的填料;在1500℃以下的环境里,选用难熔性硅铝酸盐,同时加入增强填料等;在1500~3000℃、且有高气动剪切作用时,除选用长石粉等硅铝酸盐外,还应加入高温氧化物和高硅氧纤维等填料。
(2)低密度 烧蚀隔热涂层应具有相对低的密度,在相同厚度时,应使涂层质量轻、热传递系数低,以保证涂层优良的隔热性。另外,低密度的涂层可以明显减少推进剂燃料的用量,提高飞行器运行效率。恰当合理地选用低密度填料是实现烧蚀隔热涂层低密度的有效措施。可供选择的低密度填料有蛭石、膨胀珍珠岩、氧化铝空心微球和酚醛树脂空心微球等填料。在烧蚀隔热涂料中,加入适量的低密度填料后,形成有蜂窝结构的烧蚀隔热涂层,该涂层表面应涂装封闭性优异的面漆,提高涂层防腐蚀介质渗透能力,确保涂层的“三防”性。
(3)反应性烧蚀隔热涂层内的部分填料在高温下具有化学反应性。
在超过1500K的环境条件下,涂层内生成的碳质残留物可与填料中的二氧化硅发生吸热化学反应:
![]() 生成的SiO和CO气体离开隔热涂层而带走热量,增加涂层的隔热性。
在1000℃以上时,涂层内的二氧化硅填料与活性金属粉发生吸热化学反应:
生成的SiO气体离开隔热涂层时带走热量,提高了隔热效果。将热性酚醛树脂与二氧化硅配制成涂料;将乙烯基硅橡胶弹性烧蚀隔热涂料中加入40%(占乙烯基硅橡胶质量)活性锌粉。涂层在氧-乙炔火焰(3002℃)中烧蚀,测定涂层隔热效果比较见表7-41。![]() 4.增强剂 烧蚀隔热涂层内的增强剂可提高涂层机械强度、增加抗气动磨蚀能力。常用的增强剂有玻璃纤维、石棉纤维、高硅氧纤维、尼龙纤维、碳素纤维等。根据烧蚀隔热涂料不同的应用环境条件,可采用不同品种的增强剂。增强剂的适用长度为1~5mm,用量占涂料固体分的2%~5%为宜。
5.助剂烧蚀隔热涂料中的助剂可改进涂层的黏结性和消融性,提高抗烧蚀性及隔热效果。如偶联剂可改进涂层与被保护底材的黏结性;助熔剂可促进填料在高温下“熔融”,加固涂层蜂窝结构的强度,改善涂层在烧蚀状态下的表面性能,即通过助熔剂在高温下的物态变化,增加烧蚀隔热涂层的消融防护功能。在烧蚀隔热涂料中加入适量的硼粉和硅粉,会降低烧蚀隔热涂层的AR并提高烧蚀隔热效果。
三、烧蚀隔热涂料的制备及施工
1.制备工艺烧蚀隔热涂料配方见表7-42。
![]() 制备工艺如下所述。
将配方a中除增韧固化剂外的全部原料加入调漆罐内,充分拌合,熟化8h后,在三辊研磨机上研磨,研磨至符合产品要求,便得到发动机衬里用烧蚀隔热涂料主剂a,包装备用。
将配方b中除交联固化剂和固化促进剂外的全部原料加入调漆罐内、充分拌合,熟化8h后,在三辊机上研磨至符合产品要求,得到弹性体外表面用烧蚀隔热涂料主剂b,包装备用。
2.施工方法烧蚀隔热涂料应根据不同的使用部位采取不同的施工方法。常用的施工方法有浸涂、刮涂、刷涂及无空气喷涂等。
配方a和配方b的涂料可采用刷涂和刮涂施工方法。在施工前应将被涂部件进行严格地表面处理。然后按配方给出的配比,配制涂料,按施工程序要求进行施工。在刮涂施工时,应采用橡皮(或韧性塑板)刮刀,每次刮涂厚度为0.5~1.0mm为宜。
四、涂层性能评价参数
烧蚀隔热涂层的物理机械性能指标,如冲击强度、弹性、附着力等均可采用普通涂膜检测方法进行评价。有关烧蚀隔热涂层的特定评价参数如下所述。
①线性烧蚀速率AR 线性烧蚀速率AR(Ablative Rate)表示烧蚀隔热涂层在高温或火焰作用下,每单位时间厚度的损失(mm/S)。对于烧蚀后有膨胀的涂层,应刮去膨胀碳化层后测定其剩余厚度。此项指标是评价烧蚀隔热涂层的主要参数。
②质量烧蚀速率MAR 质量烧蚀速率MAR(mass ablativerate)表示每单位时间、单位面积烧蚀涂层的质量损失[g/(cm2·s)]。
MAR=AR×D
式中 D———涂层的密度。
③绝热指数I1 绝热指数I1(insulation index)系指一定厚度的涂层在固定热源作用下,背面温度达到规定温度(T)时所需的时间(s),即称为这种涂层的绝热指数(或称隔热效果)。其数值越大越好。如果测定达到200℃所需要的时间,记作I200。
④烧蚀性能指数API 烧蚀性能指数API(ablative perfor-mance index)是衡量涂层抗烧蚀性和隔热性的综合指标。
![]() ⑤消融热AH消融热AH(ablative heat)也称烧蚀吸收热。AH表示单位质量的烧蚀隔热涂层(或材料)在一定烧蚀条件下所吸收的热量(kJ/kg),由于消融热与表面温度有关,所以经常采用冷壁消融热AHcw(cold wall ablative heat)。
![]() 式中 Gcw———冷壁输入的热流量,kJ/(m2·s);
D———涂层的密度,kg/m3;
AR———线性烧蚀速率,m/s;
AHcw———冷壁消融热。
五、烧蚀隔热涂料的发展
随着航天技术的发展,对飞行器的热防护需要综合性更出色的烧蚀隔热涂料(材料)。选择、合成新型高聚物或高聚物合金是提高涂层烧蚀隔热性的主要途径。解决成碳率高、产气率多、抗烧蚀性强的芳杂环和亚苯基等高聚物的溶解性及固化性等技术难题,将是今后工作的重要内容之一。高效填料、增强剂、特效添加剂对改善涂层性能具有不可低估的作用。进一步探讨高聚物结构与烧蚀隔热性间的关系、研究高温烧蚀吸热反应机理,会提高飞行器模拟试验的可靠性,对烧蚀隔热涂料配方设计及提高涂层性能具有重要指导意义。
航天飞机的问世,需要提供多次反复使用的进入大气的防热隔层。哥伦比亚航天飞机用SiO2防热瓦防热成功,为研制多次使用防热层提供了借鉴经验。
我国烧蚀隔热涂料在满足现有各型号防热要求的基础上,正向高性能、低密度和多次使用方向发展。
|

,气体吸热100kJ/kg,而金属铜受高温变成气体吸热6.7×104kJ/kg。即有机聚合物变成气体带走的热量是金属铜变成气体带走热量的14.9倍,由此可知有机聚合物的隔热效果相当显著。在设计宇宙飞行器防热方案时,对飞行器的高温、高冲刷部位,对火箭外壳气动加热防护、发动机燃烧室内壁推进剂燃气流热防护、发动机喷管处及受热冲击的发射场所等的热防护,多数采用烧蚀隔热涂料(或材料)。






等,移动至烧蚀界面跑掉,带走热量,达到隔热目的。因此,烧蚀隔热涂层在高温下应具有较高的产气率。实践表明,产生气体的相对体积越大、带走热量越多、隔热效果越好。例如,气体
的相对体积是1.0,金属铜产生气体的相对体积是0.08,则从有机聚合物为基料的烧蚀隔热涂层的隔热效果远远高于金属铜。


生成的SiO气体离开隔热涂层时带走热量,提高了隔热效果。将热性酚醛树脂与二氧化硅配制成涂料;将乙烯基硅橡胶弹性烧蚀隔热涂料中加入40%(占乙烯基硅橡胶质量)活性锌粉。涂层在氧-乙炔火焰(3002℃)中烧蚀,测定涂层隔热效果比较见表7-41。


